- たむかい学習教室

- 2025年12月9日
- 読了時間: 6分
三平方の定理 辺の長さ

当ブログでは、授業のポイント解説をしています。
三平方の定理は、直角三角形の辺の長さを求めるために利用します。直角をはさむ2辺それぞれを2乗して足した数は、3辺の中で一番長い斜辺を2乗した数になります。
問題
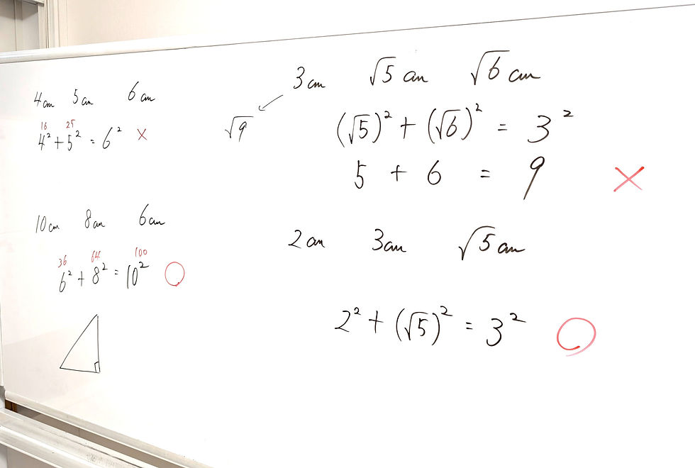
次の長さを3辺とする三角形が直角三角形であるものを、ア~エからすべて選びなさい。
ア 4cm、5cm、6cm
イ 10cm、8cm、6cm
ウ 3cm、√5cm、√6cm
エ 2cm、3cm、√5cm
斜辺がいちばん長いc
「a²+b²=c²」が成り立つ式を選ぶ
ア
4²+5²=41 41≠6²
イ
6²+8²=100 100=10²
ウ
3cm=√9cmだから
斜辺は3cm
(√5)²+(√6)²=11 11≠3²
エ
2cm=√4cm、
3cm=√9cmだから
斜辺は3cm
2²+(√5)²=9 9=3²
よって、イ・エ

問題
次の図で、x、yの値をそれぞれ求めなさい。
1)

△CADにおいて
CA²=AD²+CD²だから
x²=3²+5²
x²=34
x=√34(x>0)
△ACBにおいて
BC²=AC²-AB²だから
y²=(√34)²-4²
y²=18
y=3√2(y>0)
よって、
x=√34、y=3√2
2)

△ADBにおいて
AB²=AD²-BD²だから
x²=(√13)²-2²
x²=9
x=3(x>0)
△ACBにおいて
BC=6
AC²=AB²+BC²だから
y²=3²+6²
y²=45
y=3√5(y>0)
よって、
x=3、y=3√5

問題
次の三角形の面積を求めなさい。
1)

AからBCへの垂線をAHとする
👉△ABCの高さ
△ABHにおいて
AH²=AB²-BH²
BH=8÷2=4cmだから
AH²=8²-4²
AH²=48
AH=4√3cm(AH>0)
よって、
△ABCの面積は、
(1/2)×BC×AH
=(1/2)×8×4√3
=16√3cm²
2)

△ABHにおいて
AH²=AB²-BH²
BH=12÷2=6cmだから
AH²=9²-6²
AH²=45
AH=3√5cm(AH>0)
よって、
△ABCの面積は、
(1/2)×BC×AH
=(1/2)×12×3√5
=18√5cm²


問題
下の図の円錐について、あとの問いに答えなさい。ただし、円周率はπとする。

1)高さAOを求めなさい。
2)体積を求めなさい。
3)表面積を求めなさい。
1)
△ACOにおいて
∠AOC=90°だから
AO²=AC²-OC²
AO²=10²-5²
AO²=75
AO>0より
AO=5√3cm
2)
円錐の体積
(1/3)×底面積×高さ
(1/3)×π×5²×5√3
=(125√3/3)π cm³
3)
円錐の表面積
底面積(円)+側面積(おうぎ)
底面積は、25π cm²
側面積は、
弧の長さが、2π×5=10π cm
👉円周と同じ
半径(母線)が、10cmだから
(1/2)×10π×10
=50π cm ² ※
よって、
25π+50π=75π cm²
※
おうぎの面積 (1/2)ℓr
(1/2)×(弧の長さ)×(円錐の母線)


【 たむかい学習教室 】
完全1対1 個別指導
教員経験20年のプロ講師による完全マンツーマン指導!
追加料金なしの安心の授業料で、手厚いサポート!
全科目対応で、幅広い学習ニーズにお応えいたします!

塾生のホンネ
「数学や英語が苦手。何から始めたらいい?」
「長い問題文が苦手。どうしたらいい?」
「学校の授業で難しいことが増えてきた」
「受験が不安。テスト成績を上げていきたい」

完全1対1授業でホンネを解決!
★苦手の克服に最適★
★受験に強い個別指導★
★経験豊富な講師の一貫指導★
★安心の授業料で全力サポート★

★苦手の克服に最適★
5教科対応、完全マンツーマンで指導いたします。弱点を着実に克服でき、「わかる・できる」につながります。学校の授業が定着しやくすなり、成績アップも期待できます。
★受験に強い個別指導★
入試の出題範囲は広く、十分な対策時間と学習量が必要になります。受験に向けて、対策時間と学習量をしっかりと確保できるのは、完全1対1授業の強みです。
★経験豊富な講師の一貫指導★
教員経験20年の講師が確かなノウハウで、難解な内容もわかりやすく丁寧に指導いたします。初めての受講生からも「分かりやすい」「納得の解説」と好評です。
★安心の授業料で全力サポート★
入塾費や高額な教材費、授業料以外にいただく追加料金は一切ございません。安心の授業料で全力サポートいたします。
<1か月授業料(税込)>
90分授業:14,800円(月4回)
120分授業:17,600円(月4回)
(例)1回・90分授業の場合
教師1名・生徒3名の複数指導
→1名につき30分の個別指導
指導時間3分の1、実質料金は割高に。
↕
教師1名・生徒1名の完全個別指導
⇒完全90分の個別指導(当塾)
生徒1名に100%の指導時間
親御さんの声
「できる問題が増え勉強に自信がついたようで、期待感があります」
「苦手だった英語と数学が伸び始めたので、正直ホッとしています」
「成績の伸び幅と年間の費用を考えると、転塾して正解でした」
合格実績
八戸高 八戸東高 八戸北高 八戸西高 国立八戸高専 八戸工業高 八戸商業高 八戸工業大学第一高 八戸工業大学第二高 千葉学園高 八戸聖ウルスラ学院・英語科
八戸聖ウルスラ学院中学 八戸工大二高附属中学
指導実績
八戸市立第一中 第二中 第三中 長者中 根城中 白山台中 小中野中 白銀中 鮫中 大館中 東中 下長中 北稜中 是川中 南浜中 明治中 中沢中 工大二高附属中 階上中 福地中 大野中
八戸東高 八戸北高 八戸西高 仙台育英学園高ILC
吹上小 中居林小 柏崎小 長者小 根城小 新井田小 旭ヶ丘小 西園小 南郷小 角の浜小
今年度塾生35名(2025年11月現在)
「体験学習」を実施しています
通塾をご検討の方に無料体験学習を実施しております。
当日の学習科目は希望制です。小学生から中高生まで、ご要望にお応えできるよう授業を進めさせていただきます。

ご入塾までの流れ
体験学習(60分)
入塾をご希望の場合、
保護者面談の日程調整
↓
保護者面談(40分程度)
お子様の受講に関わるご説明
保護者の方からのご相談・ご要望
↓
受講開始手続き
体験学習・実施日時はこちら
塾生の声
苦手意識から「自信」へ
(中学3年)

今まで分からないことが多く、学校の授業についていけないことがあったり、テストで全く解けない問題もありましたが、先生から考え方や解き方を分かりやすく丁寧に教えてもらい、解ける問題が増えてテストの点数が大きく上がりました。この教室に通って、勉強に自信が持てるようになりました。
3年間の積み重ねで受験合格
(小学6年)

4年生の時から通い始めました。3年間の授業で、先生は分からない問題を理解しやすく、そしてやさしく教えてくれました。本当にこの塾で良かったと思っています。6年生の冬には、志望校の受験に合格することができました。一貫校に進むので、次は大学受験です。中学に上がっても、目標のためにこの塾で学んでいきます。
苦手の克服が高得点に
(高校1年)

苦手の英語を克服するために通い始めました。長文対策では、先生と一緒に音読練習や和訳などに繰り返し取り組み、テストでは高得点を取れるようになりました。通う前より、勉強の量だけでなく、勉強の質も上げることができました。他教科の苦手にも向き合って、「得意」に変えていけるよう、この教室で学習を続けていきたいです。
受講に関するお問い合わせ
ご相談はお気軽にお尋ねください

電話番号
050-3637-1500
電話受付 10:00-21:00
体験学習のお申し込みはこちら
住所
イオン田向店から車で1分
【周辺道路 車での所要時間】
八戸大野線
三陸道是川IC2分
パークホテル5分
八戸環状線
八戸道八戸IC8分
四本松交差点8分
10分圏内の地区
八戸市田向 吹上 南類家
中居林 石手洗 十日市
柏崎 青葉 類家 諏訪
長者 糠塚 沢里 根城
旭ヶ丘 新井田 妙
白山台 是川

2025.12.9 三平方の定理 辺の長さ
